雙曲線無脊薄壁堰在井口泥漿流量測量的應用
點擊次數:2470 發布時間:2020-08-12 16:19:07
為了制造井口泥漿流量計的一次儀表,*先要解決一次儀表的關鍵部位-薄壁堰的過水斷面問題。要求過水斷面的形狀能使流量(Q)與水頭(H)之間的關系成正比例變化,以便測得穩定的準確的連續流量和簡化一次儀表上的轉換器制造。為此,筆者設計了過水斷面形狀,并通過室內實驗,得到了較為理想的85-01號薄壁堰。但要應用于流量計的一次儀表還有待進一步研究。
1、試驗目的
在鉆進過程中,及時掌握井口泥漿流量的變化情況,對分析井下地層有無漏失、井涌以及優選有關參數實現平衡地層壓力鉆井具有重要意義。目前,在開口槽中測量泥漿瞬時流量的一次儀表上,只有幾種不同形狀的薄壁堰(矩形、直角三角形和梯形等),它們的流量和水頭的變化均為指數變化關系,即非線性變化,所以滿足不了連續測量的需要。重慶石油儀修廠于1971年在試制全自動氣測儀的過程中,筆者曾提出以雙曲線薄壁堰做井口泥漿流量計的一次儀表的方案。經過室內水力學實驗和現場生產試驗,表明這種有脊的雙曲線薄壁堰的流量與作用水頭之間的變化關系基本上是線性的;流量系數隨作用水頭的升高略有增大,但在泥漿槽中工作時,堰口下面的脊(堰口底邊離水槽底的高度)阻擋了泥漿,產生了沉沙,需要每隔一定時間清除一次沉沙(見圖1)。顯然,這樣的一次儀表不受現場工作人員所歡迎。近來,又設計出下方開有補償孔的無脊雙曲線薄壁堰,進行了水力學實驗(見圖2)。
1、試驗目的
在鉆進過程中,及時掌握井口泥漿流量的變化情況,對分析井下地層有無漏失、井涌以及優選有關參數實現平衡地層壓力鉆井具有重要意義。目前,在開口槽中測量泥漿瞬時流量的一次儀表上,只有幾種不同形狀的薄壁堰(矩形、直角三角形和梯形等),它們的流量和水頭的變化均為指數變化關系,即非線性變化,所以滿足不了連續測量的需要。重慶石油儀修廠于1971年在試制全自動氣測儀的過程中,筆者曾提出以雙曲線薄壁堰做井口泥漿流量計的一次儀表的方案。經過室內水力學實驗和現場生產試驗,表明這種有脊的雙曲線薄壁堰的流量與作用水頭之間的變化關系基本上是線性的;流量系數隨作用水頭的升高略有增大,但在泥漿槽中工作時,堰口下面的脊(堰口底邊離水槽底的高度)阻擋了泥漿,產生了沉沙,需要每隔一定時間清除一次沉沙(見圖1)。顯然,這樣的一次儀表不受現場工作人員所歡迎。近來,又設計出下方開有補償孔的無脊雙曲線薄壁堰,進行了水力學實驗(見圖2)。

2、雙曲線薄壁堰及其補償底孔的工作原理
1.雙曲線薄壁堰的線性流量特征
如圖3所示,當薄壁堰口尺寸的變化關系為雙曲線
時,由于流速
故流量Q
時,由于流速
故流量Q
(1)式表明,雙曲線薄壁堰的通過流量與作用水頭之間,具有線性變化關系。
2.矩形底孔的補償作用
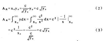
根據雙曲線薄壁堰口尺寸變化關系為
即縱坐標y值趨近于零時,橫坐標x值趨近無窮大。這在堰板的實際制作上是無法實現的。若將堰口曲線的*低縱坐標取為yo,在yo一下至(-yo)增開一矩形,即高為2yo,寬為2x。的補償孔,從數學上可以證明,坐標原點以下所增大的矩形面積(A補)正好等于舍去的曲邊面積(A補)。由圖3可知
即縱坐標y值趨近于零時,橫坐標x值趨近無窮大。這在堰板的實際制作上是無法實現的。若將堰口曲線的*低縱坐標取為yo,在yo一下至(-yo)增開一矩形,即高為2yo,寬為2x。的補償孔,從數學上可以證明,坐標原點以下所增大的矩形面積(A補)正好等于舍去的曲邊面積(A補)。由圖3可知

(2)與(3)式比較可得
A內=A補=A外
3、試驗方法及結果
為了分別進行有補償孔和無補償孔兩種情況下無脊雙曲線薄壁堰的流量特性試驗,用尺寸縮小成1/10的模型進行室內水力學實驗。如圖4所示,將兩種薄壁堰(見圖5和圖6)焊接在水槽出口處。實驗結果見表1和表2。


4、初步認識
用85-01號和85-02號兩種雙曲線薄壁堰,在試驗水槽端安裝成無脊有補償孔和無補償孔兩種情況,進行了多次實驗,所得數據通過整理,畫出流量特性曲線,見圖7和圖8。

根據上述實驗,得到以下認識:
1.具有補償底孔的雙曲線無脊薄壁堰(見圖7),在作用水頭超過補償孔以上時,通過流量與作用水頭之間具有較好的線性變化關系,其流量系數K值基本保持在20.5cm³/s·mm左右。
2.無補償底孔的雙曲線無脊薄壁堰,見圖8,其流量與作用水頭之間變化關系基本上是線性的,流量系數K值隨作用水頭升高略有增大。
3.無脊雙曲線薄壁堰在工作時對液流中的泥沙無阻擋作用,可用于開口槽中測量含有固體顆粒的液體流量。
4.具有補償孔的雙曲線無脊薄壁堰,在作用水頭很低的情況下其流量與作用水頭之間的變化關系是非線性的。但在高作用水頭下其流量系數K卻保持不變,這與鉆井條件下井口流量大,作用水頭高德情況相一致。故此種雙曲線無脊薄壁堰作為井口泥漿流量連續測量的一次儀表是比較適合的。


