蒸汽流量計在工業生產中的使用與維護
點擊次數:3309 發布時間:2021-03-19 07:51:32
摘要: 蒸汽流量計是速度式流量計,具有溫壓補償、瞬時流量顯示和累積流量積算功能。選用儀表類型時要考慮應用場合、精度要求和儀表功能等因素。該文介紹蒸汽流量計的正確安裝和維護及其在使用過程中常見故障現象和處理方法
引言
蒸汽流量計是速度式流量計之一,主要用于工業管道介質流體的流量測量,如液體、氣體、蒸氣等單相流滿管介質的測量。有模擬量標準信號或數字量脈沖信號輸出,智能流量顯示儀,具有溫壓補償、瞬時流量顯示和累積流量積算功能。便于計算機等數字系統配套使用,是一種比較先進、理想的流量儀表。
1 蒸汽流量計的工作原理
蒸汽流量計是由漩渦發生體、頻率檢測器和信號轉換器等環節組成,輸出 4 ~ 20 mADC 信號或脈沖電壓信號。其測量原理是在流動的流體中的垂直流動方向安放 1 根或多根非流體型阻流體,在一定的流量范圍內,流體在阻流體兩側交替地分離、釋放出 2 串頻率正比于管道內的平均流速、規則的、不對稱有規律的交替漩渦列,如圖 1 所示,且兩側漩渦旋轉方向相反。采用檢測元件測出漩渦頻率就可以推算出流體的流量。

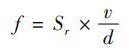
假設被測介質的平均流速為 v,旋渦的發生頻率為 f,旋渦發生體迎面寬度為 d,一側漩渦產生的頻率 f 與 v 和 d 之間有如下關系式:

式中: Sr是雷諾數的函數,在 ReD = 2 ×104 ~ 7×106范圍內,氣體 5 ~ 50 m /s; 液體 0. 5 ~ 7 m /s,當旋渦發生體的形狀和尺寸一定時,Sr可視為常數,渦街頻率與體積流量成比例關系,不受流體物理性質和組份變化的影響。
蒸汽流量計可以測量單相流狀態下的液體、氣體和蒸汽的流量,在混相流體狀態時,流量計是不能作出精確測量的。
2 蒸汽流量計的選用
蒸汽流量計按傳感器分為法蘭式、夾持式和插入式。選型時優先考慮法蘭式,其次是夾持式。原因是夾持式和插入式流量計的精度受安裝影響較大,不規范的安裝將產生很大的測量誤差。無需做精確控制和計量的場合,可以選用插入式蒸汽流量計。
蒸汽流量計有一體式和分體式兩種類型,在高溫環境或高空或井中安裝的場合,為了改善儀表的工作環境或方便儀表的檢修選用分體式儀表。采用一體式儀表時,安裝點周圍應該留有較充裕的空間,以便安裝接線和定期維護。
3 蒸汽流量計的溫壓補償
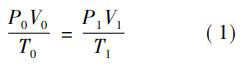
氣體是可壓縮流體,當溫度和壓力變化時,其體積量將隨之改變。氣體流量測量時均要求流量計輸出標準體積流量或質量流量,而蒸汽流量計只能測量出工況下的體積流量,所以蒸汽流量計測量一般氣體或蒸汽時儀表選型一定要考慮溫壓補償功能。通過溫壓補償可以將工況體積流量轉換為質量流量或標況體積流量。測量一般氣體時,補償原理是根據標準氣體狀態方程式:

式中: P0,P1分別為標準狀態下和工況下的絕對壓力( Pa) ; T0,T1 分別為標準狀態下和工況下的熱力學溫度( K) ; V0,V1分別為標準狀態下和工況下的氣體體積。
測量蒸汽時,不能使用標準氣體狀態方程式,飽和蒸氣只需壓力或溫度補償。一般有以下兩種補償方式:
一是當蒸汽流量計傳感器無內置壓力、溫度檢測元件時,只能在儀表內部做靜態補償,就是輸入固定的溫度和壓力值用于補償。此方法只適用于溫度壓力變化不大的場所。蒸汽流量計傳感器有內置壓力和溫度檢測元件時,儀表根據所測溫度和壓力判斷蒸汽狀態是屬于飽和蒸氣還是過熱蒸汽,由儀表內部存儲的蒸汽數據庫自動計算質量流量。
二是采用蒸汽流量積算儀,將蒸汽流量計所測工況體積流量以及溫度和壓力變送器所測信號傳到蒸汽流量積算儀,如圖 2 所示由蒸汽流量積算儀進行補償運算。蒸汽流量積算儀內置過熱蒸汽以及飽和蒸氣補償算法,可以輸出質量流量、標準體積流量甚至熱量和比焓等。

4 蒸汽流量計的安裝
蒸汽流量計的正確安裝是保障儀表正常運行的重要環節,若安裝不正確,輕則影響儀表的測量精度,重則影響儀表的使用壽命,甚至會損壞儀表。蒸汽流量計的安裝管道要避免高溫熱源和輻射源的影響,安裝場所須有隔熱通風措施,避開強腐蝕環境。為了消除電干擾,現場布線要與高壓線、電源線和電力設備保持足夠的距離。
蒸汽流量計盡量避免安裝在震動較強的管道上,特別是橫向震動; 流量計盡量避免安裝在架空而過長的管道上,導致流量計下垂,造成法蘭的密封泄漏; 若必須在上述兩種情況下安裝,需在傳感器的上下游 2D 處分別設置管道緊固裝置并加防震墊。
蒸汽流量計安裝在室外應注意防水,電氣接口處應將電纜線彎成 U 形,避免水順著電纜線進入儀表殼內。蒸汽流量計安裝點的上游較近處若安裝有不斷開關的閥門,會影響流量計的使用壽命,易對流量計造成永久性損壞。
蒸汽流量計的口徑如果與工藝管道相同,不能滿足流量儀表要求時,或者在此流速下測量準確度不能保證時,需要縮小儀表口徑,從而提高管內流速,保證測量精度。上下游必須有足夠的直管段,若傳感器安裝點的上游在同一平面上有 2 個 90°彎頭時,上游直管段≥25D,下游直管段≥5D。根據測量的需要,需在蒸汽流量計附近測量壓力和溫度時,測壓點應在傳感器下游的( 3 ~ 5) D 處,測溫點應在傳感器下游的( 6 ~ 8) D 處,如圖 3 所示。

5 蒸汽流量計的維護與故障處理
蒸汽流量計無可動部件,所以在正常使用情況下,維護工作量較少。在儀表投用的初始階段,要求液體流量緩慢增加,以免損壞儀表的渦街發生體。
5. 1 蒸汽流量計的維護
日常維護的任務是: 密切關注蒸汽流量計顯示板的低電池指示燈,如有閃光現象應盡快更換內部電池; 定期檢查屏蔽和接地情況,消除外界干擾,有時指示問題是由于受到干擾造成的; 定期清洗蒸汽流量計的探頭,探頭檢測孔如果被污物堵塞,會影響正常測量。
5. 2 蒸汽流量計的故障現象與處理
現象 1: 計量不準。處理方法: 檢查儀表 K 系數或口徑等關鍵參數設置; 檢查測量氣體或蒸汽時補償方式或參數是否正確; 檢查流量計安裝時墊片是否同心或伸入管道等等。
現象 2: 傳感器損壞。處理方法: 在蒸汽測量中,99% 的蒸汽流量計傳感器損壞原因是因為水錘,為避免水錘的產生需在工藝管線增加疏水器; 檢查傳感器材質選擇是否正確,介質是否腐蝕儀表傳感器; 檢查傳感器工作溫度是否大于額定值。
6 結語
蒸汽流量計采用微功耗高新技術,采用鋰電池供電,可不間斷運行 2 年以上; 可就地顯示瞬時流量、累積流量等。蒸汽流量計廣泛適用于化工、石油、冶金、電力、煤炭等領域。只有在正確選型、正確安裝和正確維護下才能保證其發揮應有的作用。
蒸汽流量計如何正確選型
關于蒸汽流量計如何選型
蒸汽流量計量產生影響的主要問題有哪些
蒸汽流量計的基本原理
蒸汽流量計常見故障檢查處理和維護
蒸汽流量計設備如何預防堵塞處理
蒸汽式流量計,高壓蒸汽流量計
蒸汽流量計價格,蒸汽預付費流量計
蒸汽流量計價格,電廠蒸汽流量計
蒸汽流量計廠家,高壓蒸汽用什么流量計
蒸汽流量計廠家,測蒸汽的流量計
蒸汽流量計在工程應用中要應對一系列問題及相關解決方法
解決蒸汽流量計故障的實驗方案說明
實例集中蒸汽流量計改造及策略控制分析
蒸汽流量計的原理與空氣標定及蒸汽裝置的數據對比
蒸汽流量計在工業生產中的使用與維護
蒸汽流量計的工作原理與結構分析
蒸汽流量計選型參數表
蒸汽流量計安裝要求
蒸汽流量計選型樣譜與訂貨須知
蒸汽流量計有幾種
蒸汽流量計液晶表頭的參數設置
蒸汽流量計接線端子圖
影響飽和蒸汽流量計測量的因素及解決此類問題的途徑
溫壓補償蒸汽流量計與楔形流量計的優缺點及選型注意事項
關于鍋爐蒸汽流量計的產生誤差原因及日常維護要點
管道蒸汽流量計在安裝調試中會遇到的四種故障原因分析
一寸管道蒸汽流量計應用時的故障處理分析
影響管道內蒸汽流量計在蒸汽計量中準確度因素的分析
影響煤氣40管道蒸汽流量計精確度的因素及應對策略
引言
蒸汽流量計是速度式流量計之一,主要用于工業管道介質流體的流量測量,如液體、氣體、蒸氣等單相流滿管介質的測量。有模擬量標準信號或數字量脈沖信號輸出,智能流量顯示儀,具有溫壓補償、瞬時流量顯示和累積流量積算功能。便于計算機等數字系統配套使用,是一種比較先進、理想的流量儀表。
1 蒸汽流量計的工作原理
蒸汽流量計是由漩渦發生體、頻率檢測器和信號轉換器等環節組成,輸出 4 ~ 20 mADC 信號或脈沖電壓信號。其測量原理是在流動的流體中的垂直流動方向安放 1 根或多根非流體型阻流體,在一定的流量范圍內,流體在阻流體兩側交替地分離、釋放出 2 串頻率正比于管道內的平均流速、規則的、不對稱有規律的交替漩渦列,如圖 1 所示,且兩側漩渦旋轉方向相反。采用檢測元件測出漩渦頻率就可以推算出流體的流量。

假設被測介質的平均流速為 v,旋渦的發生頻率為 f,旋渦發生體迎面寬度為 d,一側漩渦產生的頻率 f 與 v 和 d 之間有如下關系式:

式中: Sr是雷諾數的函數,在 ReD = 2 ×104 ~ 7×106范圍內,氣體 5 ~ 50 m /s; 液體 0. 5 ~ 7 m /s,當旋渦發生體的形狀和尺寸一定時,Sr可視為常數,渦街頻率與體積流量成比例關系,不受流體物理性質和組份變化的影響。
蒸汽流量計可以測量單相流狀態下的液體、氣體和蒸汽的流量,在混相流體狀態時,流量計是不能作出精確測量的。
2 蒸汽流量計的選用
蒸汽流量計按傳感器分為法蘭式、夾持式和插入式。選型時優先考慮法蘭式,其次是夾持式。原因是夾持式和插入式流量計的精度受安裝影響較大,不規范的安裝將產生很大的測量誤差。無需做精確控制和計量的場合,可以選用插入式蒸汽流量計。
蒸汽流量計有一體式和分體式兩種類型,在高溫環境或高空或井中安裝的場合,為了改善儀表的工作環境或方便儀表的檢修選用分體式儀表。采用一體式儀表時,安裝點周圍應該留有較充裕的空間,以便安裝接線和定期維護。
3 蒸汽流量計的溫壓補償
氣體是可壓縮流體,當溫度和壓力變化時,其體積量將隨之改變。氣體流量測量時均要求流量計輸出標準體積流量或質量流量,而蒸汽流量計只能測量出工況下的體積流量,所以蒸汽流量計測量一般氣體或蒸汽時儀表選型一定要考慮溫壓補償功能。通過溫壓補償可以將工況體積流量轉換為質量流量或標況體積流量。測量一般氣體時,補償原理是根據標準氣體狀態方程式:

式中: P0,P1分別為標準狀態下和工況下的絕對壓力( Pa) ; T0,T1 分別為標準狀態下和工況下的熱力學溫度( K) ; V0,V1分別為標準狀態下和工況下的氣體體積。
測量蒸汽時,不能使用標準氣體狀態方程式,飽和蒸氣只需壓力或溫度補償。一般有以下兩種補償方式:
一是當蒸汽流量計傳感器無內置壓力、溫度檢測元件時,只能在儀表內部做靜態補償,就是輸入固定的溫度和壓力值用于補償。此方法只適用于溫度壓力變化不大的場所。蒸汽流量計傳感器有內置壓力和溫度檢測元件時,儀表根據所測溫度和壓力判斷蒸汽狀態是屬于飽和蒸氣還是過熱蒸汽,由儀表內部存儲的蒸汽數據庫自動計算質量流量。
二是采用蒸汽流量積算儀,將蒸汽流量計所測工況體積流量以及溫度和壓力變送器所測信號傳到蒸汽流量積算儀,如圖 2 所示由蒸汽流量積算儀進行補償運算。蒸汽流量積算儀內置過熱蒸汽以及飽和蒸氣補償算法,可以輸出質量流量、標準體積流量甚至熱量和比焓等。

4 蒸汽流量計的安裝
蒸汽流量計的正確安裝是保障儀表正常運行的重要環節,若安裝不正確,輕則影響儀表的測量精度,重則影響儀表的使用壽命,甚至會損壞儀表。蒸汽流量計的安裝管道要避免高溫熱源和輻射源的影響,安裝場所須有隔熱通風措施,避開強腐蝕環境。為了消除電干擾,現場布線要與高壓線、電源線和電力設備保持足夠的距離。
蒸汽流量計盡量避免安裝在震動較強的管道上,特別是橫向震動; 流量計盡量避免安裝在架空而過長的管道上,導致流量計下垂,造成法蘭的密封泄漏; 若必須在上述兩種情況下安裝,需在傳感器的上下游 2D 處分別設置管道緊固裝置并加防震墊。
蒸汽流量計安裝在室外應注意防水,電氣接口處應將電纜線彎成 U 形,避免水順著電纜線進入儀表殼內。蒸汽流量計安裝點的上游較近處若安裝有不斷開關的閥門,會影響流量計的使用壽命,易對流量計造成永久性損壞。
蒸汽流量計的口徑如果與工藝管道相同,不能滿足流量儀表要求時,或者在此流速下測量準確度不能保證時,需要縮小儀表口徑,從而提高管內流速,保證測量精度。上下游必須有足夠的直管段,若傳感器安裝點的上游在同一平面上有 2 個 90°彎頭時,上游直管段≥25D,下游直管段≥5D。根據測量的需要,需在蒸汽流量計附近測量壓力和溫度時,測壓點應在傳感器下游的( 3 ~ 5) D 處,測溫點應在傳感器下游的( 6 ~ 8) D 處,如圖 3 所示。

5 蒸汽流量計的維護與故障處理
蒸汽流量計無可動部件,所以在正常使用情況下,維護工作量較少。在儀表投用的初始階段,要求液體流量緩慢增加,以免損壞儀表的渦街發生體。
5. 1 蒸汽流量計的維護
日常維護的任務是: 密切關注蒸汽流量計顯示板的低電池指示燈,如有閃光現象應盡快更換內部電池; 定期檢查屏蔽和接地情況,消除外界干擾,有時指示問題是由于受到干擾造成的; 定期清洗蒸汽流量計的探頭,探頭檢測孔如果被污物堵塞,會影響正常測量。
5. 2 蒸汽流量計的故障現象與處理
現象 1: 計量不準。處理方法: 檢查儀表 K 系數或口徑等關鍵參數設置; 檢查測量氣體或蒸汽時補償方式或參數是否正確; 檢查流量計安裝時墊片是否同心或伸入管道等等。
現象 2: 傳感器損壞。處理方法: 在蒸汽測量中,99% 的蒸汽流量計傳感器損壞原因是因為水錘,為避免水錘的產生需在工藝管線增加疏水器; 檢查傳感器材質選擇是否正確,介質是否腐蝕儀表傳感器; 檢查傳感器工作溫度是否大于額定值。
6 結語
蒸汽流量計采用微功耗高新技術,采用鋰電池供電,可不間斷運行 2 年以上; 可就地顯示瞬時流量、累積流量等。蒸汽流量計廣泛適用于化工、石油、冶金、電力、煤炭等領域。只有在正確選型、正確安裝和正確維護下才能保證其發揮應有的作用。


