相關產品推薦更多 >>
污水出水流量計對總量控制方法及類型適用條件
點擊次數:3869 發布時間:2021-09-06 08:12:31
摘要:對總量控制的概念、方法及具體措施進行介紹,具體分析污水出水流量計的類型及適用條件。
1、總量控制概述
水是人類及一切有生命的個體賴以生存的基本物質。隨著社會經濟的發展,工業生產和人們的日常生活對水的需求量在不斷增長,向自然水體排放的水污染物總量也在不斷增加。環境與發展的矛盾在加劇。近年來不斷有自然水體污染嚴重影響當地的經濟發展和人民身體健康的問題出現。以淮河、海河、遼河和太湖、巢湖、滇池為代表的三河、三湖的水污染問題尤為突出。如何尋找一個有效的解決這一矛盾的方法,走可持續發展的道路,為子孫后代留下青山綠水,已經成為擺在我們面前的緊迫課題。從目前的情況來看,實行總量控制是一種比較科學有效的方法。總量控制的概念*早是由美國環保局于1979年提出的,我國近幾年迫于環境惡化的壓力,頁決定試行總量控制。過去我國對污染物實行的是濃度控制。污水綜合排放標準及排污收費制度,都主要著眼于污染物的排放濃度。只要污水排放的濃度達到排放標準的要求,就可以無限量地隨意排放。隨著環境管理工作的發展和不斷深入,人們愈來愈認識到,對污染源僅謹實行排放濃度控制,根本無法達到控制污染,確保環境質量不斷改善的目的。有些單位為了做到達標排放,將污水稀釋后排放,這種污水雖然達到了污水排放標準,但其污染物的濃度卻大大高于地面水。因此必須同時實行污染物排放總量控制。才能有效控制和削減污染。污染物排放總量控制是指這樣一種模式:即在某一區域范圍內,為達到預定的環境目標,通過一定方法求得各污染物的*大環境允許負荷,將其合理分配到區域內各污染源(各企事業單位),從而確定各污染源的*高污染物允許排放量。污染物排放總量控制與排放標準控制大不相同,污染物排放總量與自然環境條件及目標值有密切的關系。環境自凈能力強、環境目標不高的地區、污染物排放總量可以適當提高;環境自凈能力較弱,環境目標值較高的地區,污染物排放總量就要嚴格控制。在某一特定區域內,不同的時期,各污染源(各企事業單位)的總量指標會因其自然條件和技術水平的變化而不同。因此污水排放總量控制是一個復雜的系統工程,不能簡單劃一。
2、總量控制的方法
總量控制方法的不同,可以分兩種:一種是容量總量控制,它是依據區域的環境容量。經過推算,確定各污染源的排放總量控制指標的管理模式。由于各企業的總量控制指標是通過環境容量的優化配置確定的,因此能夠達到*小投資取得較好環境效益的目的。但環境容量的計算、配置,需要大量、連續的污染源、水文、水質、氣象等方面的基礎數據,對管理人員有較高的要求,操作起來有一定的難度。二是目標總量控制,它是指某一區域或行業的環境管理目標確定后,采取一定的行政手段,直接將削減污染物排放量指標分配至各企事業單位,并限時完成。這種方法可操作性強,但有一定的盲目性。
實行總量控制必須有一系列配套的政策,在實踐中不斷充實、完善,并使之程序化、規范化。總量控制的配套政策主要有以下幾個方面:
(1)制定相應的總量控制法規,依法實行總量控制。1986年國務院環保委員會在(關于防治水污染技術政策的規定>中提出“對流域、區域、城市、地區以及工礦企業污染物的排放要實行總量控制”。這是我國實行總量控制的依據。
(2)總量指標的分配和轉讓政策。當總量控制指標以排污許可證的形式下達給企業后,環保部門的主要責任是監督檢查其落實情況,如果企業經過努力出現多余的指標,可以允許其暫存起來自我調節或有償轉讓。與此同時還要建立總量指標的有償分配制度,杜絕發生倒賣總量指標現象。
(3)獎懲政策。一項政策執行的好壞與是否有嚴格的獎懲制度有很大關系。環保部門應嚴格檢查,對守法戶給予表揚、獎勵,對違法戶要進行批評、罰款等嚴肅處理。
3、水環境容量的確定
環境容量的概念*初是日本學者在1968年提出的。是指某環境單元所能承受的污染物的*大數量。河流的環境容量根據不同的要求可以分為以下四種:①是河流的絕對環境容量。它反映了未受人類活動影響時對河流的自然納污能力,是理論*大值;②是面源污染現狀水環境容量,它是根據水域污染物現狀濃度估算其達到要求水質標準時還能允許容納污染物的*大數量;③是點源污染現狀水環境容量,它是根據點污染源分布現狀,模擬計算河流的污染物濃度分布現狀,再根據相應的環境質量標準的要求估算出還能容納污染物的*大數量;④可優化利用的環境容量。它是根據不同區段水質要求的變化,通過統籌規劃,對整個河流點污染源的分布進行優化組合后,水體所能容納污染物的*大數量。由于可優化利用的環境容量充分考慮了環境、經濟、社會等諸多因素,所以這個容量更符合實際情況。
4、水污染物排放總量控制的具體措施
水污染物排放總量控制一般采取如下操作辦法;*先要研究和確定區域水環境容量,確定區域水污染物總量控制目標。確定區域水污染物的實際負荷,求得其與水污染物總量控制目標的差值,確定區域水污染物的總削減量,從而提出逐年水污染物削減量的目標值。由此可見確定水環境容量和區域水污染物的實際負荷就成為水污染物排放總量控制的重要條件。區域水污染物的實際負荷即進入區域水體的污染物總量。要了解這一數值,必須了解區域內各企事業單位污染物排放的具體數量。但目前單一的濃度考核指標不能準確掌握水污染物的實際排放數量。污水出水流量計的廣泛使用便成為水污染物總量控制的必要條件之一。那么現有的污水出水流量計是怎樣進行計量的呢。
5、污水出水流量計的種類及適用條件
根據計量原理,流量計量可以分為5類,①利用伯努利方程原理,通過測量流體差壓信號反映流量;②通過測量流體流速來反映流量;③通過測量一個個標準體積的小容積來反映流量;④通過測量流體質量來反映流量;⑤通過測量液位來反映流量。*一類流量計有節流式流量計、畢托管流量計、均速管流量計、轉子流量計、靶式流量計;*二類流量計有渦輪流量計、渦街流量計、電磁流量計、多普勒超聲波流量計、熱線測速流量計;*三類流量計有齒輪式流量計、刮板式流量計、旋轉活塞式流量計;*四類流量計有熱式質量流量計、差壓式質量流量計、葉輪式質量流量計、哥力式質量流量計、間接式質量流量計;*五類流量計有堰槽式流量計。從目前情況來看,能夠用于污水出水流量計量的流量計有電磁流量計、多普勒超聲波流量計、轉子流量計和堰槽式流量計。其中電磁流量計、多普勒超聲波流量計和轉子流量計適用于有壓排水管道內污水流量的測量;堰槽式流量計適用33于無壓排水管渠內污水流量的測量。由于各種流量計的測量原理不同,其各自的優點和缺點也各不相同。
電磁流量計的原理是導電流體在管道中流動時,導電流體切割磁力線,流量與感應電動勢和測量管徑成線性關系,與磁場的磁感應強度成反比。其函數關系為:
1、總量控制概述
水是人類及一切有生命的個體賴以生存的基本物質。隨著社會經濟的發展,工業生產和人們的日常生活對水的需求量在不斷增長,向自然水體排放的水污染物總量也在不斷增加。環境與發展的矛盾在加劇。近年來不斷有自然水體污染嚴重影響當地的經濟發展和人民身體健康的問題出現。以淮河、海河、遼河和太湖、巢湖、滇池為代表的三河、三湖的水污染問題尤為突出。如何尋找一個有效的解決這一矛盾的方法,走可持續發展的道路,為子孫后代留下青山綠水,已經成為擺在我們面前的緊迫課題。從目前的情況來看,實行總量控制是一種比較科學有效的方法。總量控制的概念*早是由美國環保局于1979年提出的,我國近幾年迫于環境惡化的壓力,頁決定試行總量控制。過去我國對污染物實行的是濃度控制。污水綜合排放標準及排污收費制度,都主要著眼于污染物的排放濃度。只要污水排放的濃度達到排放標準的要求,就可以無限量地隨意排放。隨著環境管理工作的發展和不斷深入,人們愈來愈認識到,對污染源僅謹實行排放濃度控制,根本無法達到控制污染,確保環境質量不斷改善的目的。有些單位為了做到達標排放,將污水稀釋后排放,這種污水雖然達到了污水排放標準,但其污染物的濃度卻大大高于地面水。因此必須同時實行污染物排放總量控制。才能有效控制和削減污染。污染物排放總量控制是指這樣一種模式:即在某一區域范圍內,為達到預定的環境目標,通過一定方法求得各污染物的*大環境允許負荷,將其合理分配到區域內各污染源(各企事業單位),從而確定各污染源的*高污染物允許排放量。污染物排放總量控制與排放標準控制大不相同,污染物排放總量與自然環境條件及目標值有密切的關系。環境自凈能力強、環境目標不高的地區、污染物排放總量可以適當提高;環境自凈能力較弱,環境目標值較高的地區,污染物排放總量就要嚴格控制。在某一特定區域內,不同的時期,各污染源(各企事業單位)的總量指標會因其自然條件和技術水平的變化而不同。因此污水排放總量控制是一個復雜的系統工程,不能簡單劃一。
2、總量控制的方法
總量控制方法的不同,可以分兩種:一種是容量總量控制,它是依據區域的環境容量。經過推算,確定各污染源的排放總量控制指標的管理模式。由于各企業的總量控制指標是通過環境容量的優化配置確定的,因此能夠達到*小投資取得較好環境效益的目的。但環境容量的計算、配置,需要大量、連續的污染源、水文、水質、氣象等方面的基礎數據,對管理人員有較高的要求,操作起來有一定的難度。二是目標總量控制,它是指某一區域或行業的環境管理目標確定后,采取一定的行政手段,直接將削減污染物排放量指標分配至各企事業單位,并限時完成。這種方法可操作性強,但有一定的盲目性。
實行總量控制必須有一系列配套的政策,在實踐中不斷充實、完善,并使之程序化、規范化。總量控制的配套政策主要有以下幾個方面:
(1)制定相應的總量控制法規,依法實行總量控制。1986年國務院環保委員會在(關于防治水污染技術政策的規定>中提出“對流域、區域、城市、地區以及工礦企業污染物的排放要實行總量控制”。這是我國實行總量控制的依據。
(2)總量指標的分配和轉讓政策。當總量控制指標以排污許可證的形式下達給企業后,環保部門的主要責任是監督檢查其落實情況,如果企業經過努力出現多余的指標,可以允許其暫存起來自我調節或有償轉讓。與此同時還要建立總量指標的有償分配制度,杜絕發生倒賣總量指標現象。
(3)獎懲政策。一項政策執行的好壞與是否有嚴格的獎懲制度有很大關系。環保部門應嚴格檢查,對守法戶給予表揚、獎勵,對違法戶要進行批評、罰款等嚴肅處理。
3、水環境容量的確定
環境容量的概念*初是日本學者在1968年提出的。是指某環境單元所能承受的污染物的*大數量。河流的環境容量根據不同的要求可以分為以下四種:①是河流的絕對環境容量。它反映了未受人類活動影響時對河流的自然納污能力,是理論*大值;②是面源污染現狀水環境容量,它是根據水域污染物現狀濃度估算其達到要求水質標準時還能允許容納污染物的*大數量;③是點源污染現狀水環境容量,它是根據點污染源分布現狀,模擬計算河流的污染物濃度分布現狀,再根據相應的環境質量標準的要求估算出還能容納污染物的*大數量;④可優化利用的環境容量。它是根據不同區段水質要求的變化,通過統籌規劃,對整個河流點污染源的分布進行優化組合后,水體所能容納污染物的*大數量。由于可優化利用的環境容量充分考慮了環境、經濟、社會等諸多因素,所以這個容量更符合實際情況。
4、水污染物排放總量控制的具體措施
水污染物排放總量控制一般采取如下操作辦法;*先要研究和確定區域水環境容量,確定區域水污染物總量控制目標。確定區域水污染物的實際負荷,求得其與水污染物總量控制目標的差值,確定區域水污染物的總削減量,從而提出逐年水污染物削減量的目標值。由此可見確定水環境容量和區域水污染物的實際負荷就成為水污染物排放總量控制的重要條件。區域水污染物的實際負荷即進入區域水體的污染物總量。要了解這一數值,必須了解區域內各企事業單位污染物排放的具體數量。但目前單一的濃度考核指標不能準確掌握水污染物的實際排放數量。污水出水流量計的廣泛使用便成為水污染物總量控制的必要條件之一。那么現有的污水出水流量計是怎樣進行計量的呢。
5、污水出水流量計的種類及適用條件
根據計量原理,流量計量可以分為5類,①利用伯努利方程原理,通過測量流體差壓信號反映流量;②通過測量流體流速來反映流量;③通過測量一個個標準體積的小容積來反映流量;④通過測量流體質量來反映流量;⑤通過測量液位來反映流量。*一類流量計有節流式流量計、畢托管流量計、均速管流量計、轉子流量計、靶式流量計;*二類流量計有渦輪流量計、渦街流量計、電磁流量計、多普勒超聲波流量計、熱線測速流量計;*三類流量計有齒輪式流量計、刮板式流量計、旋轉活塞式流量計;*四類流量計有熱式質量流量計、差壓式質量流量計、葉輪式質量流量計、哥力式質量流量計、間接式質量流量計;*五類流量計有堰槽式流量計。從目前情況來看,能夠用于污水出水流量計量的流量計有電磁流量計、多普勒超聲波流量計、轉子流量計和堰槽式流量計。其中電磁流量計、多普勒超聲波流量計和轉子流量計適用于有壓排水管道內污水流量的測量;堰槽式流量計適用33于無壓排水管渠內污水流量的測量。由于各種流量計的測量原理不同,其各自的優點和缺點也各不相同。
電磁流量計的原理是導電流體在管道中流動時,導電流體切割磁力線,流量與感應電動勢和測量管徑成線性關系,與磁場的磁感應強度成反比。其函數關系為:

其中Q為體積流量;B為磁場感應強度;D為測量管徑;e為感應電動勢。
該流量計具有安裝方便,變送器結構簡單,不受液體溫度、粘度、密度、電導率的影響,量程范圍寬,無機械慣性等優點。但也具有信號易受外界電磁環境干擾,傳感器易粘掛污物而鈍化等缺點。
多普勒超聲波流量計的測量原理是根據物理學中的多普勒效應,當超聲波換能器發射的超聲波入射到流體中的固體顆粒上并反射回接收器時,發射聲波與接收聲波之間的頻率將會偏移,這個頻率差正比于流體的流速,所以測量頻率差可以求得流速,進而可以得到流體的流量。其函數關系為:

其中Q為流量;A為被測管道截面積;cl為聲楔材料中的聲速;K為流速修正系數;β為聲波由聲楔進入流體的入射角;△f1為所有反射粒子的多普勒頻移的平均值;fl為發射超聲波的頻率。
這種流量計具有安裝方便,傳感器不與污水直接接觸,不會產生鈍化,測量結果不受管材限制等優點。但它只適用于測量含有較多懸浮物的污水,對清澈的含有溶解性污染物的污水無法測量,且不適用于無壓排水管道內污水流量的測量。
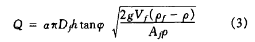
轉子流量計的原理是通過改變流通面積來改變流量。浮子的懸浮高度不同,其與管壁的間隙也不同,浮子的懸浮高度與體積流量之間有一定的比例關系。其關系式如下:

其中Q為體積流量;a為流量系數;Df為浮子所在處錐管的內徑;h為浮子的懸浮高度;g為重力加速度;Vf為浮子的體積;Af為浮子迎流的面積;ρ為流體密度;ρf為浮子的密度;ψ為錐管的錐角。
這種流量計具有結構簡單,造價低廉,安裝使用比較方便。但這種流量計必須垂直安裝,只能測量有壓排水管路中水的流量,且測量污水時其管壁易生長藻類和細菌給讀取數據造成困難。
堰槽式流量計的原理是在開放無壓的渠道或非滿流的管道內,流量與液位有某種函數關系。其函數關系為:

其中Q為體積流量;h流道槽內的液位高度;c、n靠為系數,與量水槽的形式有關。
這種流量計一般用于測量潔凈的液體。用于測量污水時由于現有的堰槽和液位測量方式容易粘掛和沉積污物,造成測量產生很大誤差,甚至無法使用。鑒于以上堰槽式流量計的缺陷,鐵道部科學研究院對這種流量計的堰槽結構和液位測量方法進行了改進,研制出兩種適合手管道或明渠排水計量的堰槽式量水槽。管道式量水槽與排水管道完全相同,安裝時按通常的排水管道連接方法進行施工即可,其內部結構的設計充分考慮了污水的水質特點,非常順滑,不會產生因懸浮物的沉積而影響過流狀態的問題。同時采用超聲波技術在空氣中測量液位的高度,探測器不與污水直接接觸,避免了因粘掛污物而影響測量精度的問題。明渠式量水槽采用矩形斷面,與池壁采用漸變連接,消除了死角,避免發生懸浮物沉積現象。這種流量計適合于無壓狀態污水排放總口污水流量的測量。另外具有遠動功能可以將測量信號引入室內,將二次儀表安裝于工作間內,便于操作人員采集數據。其數據存儲及查閱功能也便于操作人員**調閱。
6、結論
綜上所述,要真正做到控制水污染,改善水環境,必須進行總量控制,使進入自然水體的污染物質在總量上得到控制并逐漸減少,使水污染物的排放數量與自然水體的自凈能力相協調。要達到這一目的必須在各企事業單位的污水排放口安裝污水出水流量計,在對其排水水質進行例行監測的同時,對其排水水量進行時時控制。從而控制其水污染物排放量。這樣各企事業單位的水污染物排放量得到了控制,進入自然水體的水污染物總量也就得到了控制,水環境污染加劇的趨勢就會得到控制并會逐漸好轉。目前鐵路行業內的機務段、車輛段、工廠等水污染物排放較集中的企業已經開始逐漸安裝使用污水出水流量計,為加強環境管理提供了可靠的基礎數據。
這種流量計一般用于測量潔凈的液體。用于測量污水時由于現有的堰槽和液位測量方式容易粘掛和沉積污物,造成測量產生很大誤差,甚至無法使用。鑒于以上堰槽式流量計的缺陷,鐵道部科學研究院對這種流量計的堰槽結構和液位測量方法進行了改進,研制出兩種適合手管道或明渠排水計量的堰槽式量水槽。管道式量水槽與排水管道完全相同,安裝時按通常的排水管道連接方法進行施工即可,其內部結構的設計充分考慮了污水的水質特點,非常順滑,不會產生因懸浮物的沉積而影響過流狀態的問題。同時采用超聲波技術在空氣中測量液位的高度,探測器不與污水直接接觸,避免了因粘掛污物而影響測量精度的問題。明渠式量水槽采用矩形斷面,與池壁采用漸變連接,消除了死角,避免發生懸浮物沉積現象。這種流量計適合于無壓狀態污水排放總口污水流量的測量。另外具有遠動功能可以將測量信號引入室內,將二次儀表安裝于工作間內,便于操作人員采集數據。其數據存儲及查閱功能也便于操作人員**調閱。
6、結論
綜上所述,要真正做到控制水污染,改善水環境,必須進行總量控制,使進入自然水體的污染物質在總量上得到控制并逐漸減少,使水污染物的排放數量與自然水體的自凈能力相協調。要達到這一目的必須在各企事業單位的污水排放口安裝污水出水流量計,在對其排水水質進行例行監測的同時,對其排水水量進行時時控制。從而控制其水污染物排放量。這樣各企事業單位的水污染物排放量得到了控制,進入自然水體的水污染物總量也就得到了控制,水環境污染加劇的趨勢就會得到控制并會逐漸好轉。目前鐵路行業內的機務段、車輛段、工廠等水污染物排放較集中的企業已經開始逐漸安裝使用污水出水流量計,為加強環境管理提供了可靠的基礎數據。


