超聲波流量計的測量原理及結構
點擊次數:4665 發布時間:2021-03-19 07:38:58
超聲波流量計是由超聲波換能器將電能轉換為超聲波能量,并將此能量發射到被測流體中,被接收換能器接收后將之轉換為代表流量并易于檢測的電信號的儀器。它可以實現流量的檢測和顯示。超聲波流量計內部沒有活動部件和障礙物,因此帶來的管道壓力損失基本可以不用考慮。由于測量的對象信號屬于電信號,因此在現有的電子技術、微機計算能力以及信號檢測技術飛速發展的條件下,可以獲得很高的測量進度和測量范圍。超聲波流量計的計算精度的主要限制是其獲取的信號屬于間接信號,需要經過各種換算之后才能推導出*終的流動速度和流量,其采用的流動模型準確程度決定了整個測量精度的高低。
⑴基本原理
超聲波對液體、固體的穿透能力很強,尤其是在陽光下不透明的固體中,它可穿透幾十米的深度。超聲波在流動的流體中的傳播速度與流體的流速有關。 另外,當超聲波碰到流體中的雜質或分界面時會產生顯著的反射回波,碰到活動的物體能產生多普勒效應。根據這兩種現象,可以制造兩類不同的超聲波流量計。
①超聲波時間變化法
利用超聲波的傳播速度隨流體的流速變化而發生變化的原理,通過測超聲波脈沖傳播線路的平均流速就可測量流速。
②超聲波多普勒法
利用流體中的微小雜質(反射物體)的移動速度所產生的超聲波多普勒效應,通過測超聲波束交差區域的流速(相當于點的流速)就可測量流速。
超聲波流量計根據測量原理的不同,種類較多,大致可以分為以下幾類:傳播速度法(時差法、相位差法和頻差法)、多普勒法、相關法、波束偏移法等。但是目前*常采用的測量方法主要有兩類:時差法和多普勒效應法。同時,根據超聲波流量計使用場合不同,可以將之分為固定式超聲波流量計和便攜式超聲波流量計。下面主要介紹時差法和多普勒效應法兩種方法。
⑵時差法
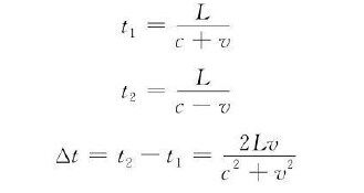
超聲波在流體中傳播時,傳播速度因流體運動狀態不同(靜止或流動)而不同。時差法就是測量超聲波脈沖順流和逆流時傳播的時間差。若靜止流體中的音速為c,流體流動的速度為v,則超聲波的傳播方向與流體的流向一致時,其傳播速度為c+v,反之為c-v。
圖1所示為脈沖傳播速度變化法測量的原理,將相距為L的兩個轉換器T1、T2設置于流體中,觀測轉換器之間超聲波的傳播時間。

*先,從T1發射與流體方向一致的超聲波,其超聲在流體中傳播,設到達T2的時間為t1,再從T2逆流發射超聲波脈沖,設到達T1的時間為t2,則傳播時間為

流速v的單位一般為m/s,當流體為水時,聲速c為1500m/s,故c>>v,則

由于L、c已知,因而流速與傳播的時間△t成正比,利用這種方法測量流速的方法稱為時間法。
⑶多普勒法測量原理
多普勒效應指當聲源和觀察者之間有相對運動時,觀察者所感受到的聲頻率將不同于聲源所發出的頻率的現象。對于靜止的接收器,接收從運動著的物體發射出來的波,所接收到的波的頻率取決于波源的速度;向運動的物體發射波時,發射回來的波的頻率也取決于運動物體的速度,頻率的變化與兩者之間的相對速度成正比。超聲波多普勒流量計就是基于多普勒效應測量流量的。如圖4所示為多普勒法超聲波流量計的測量原理圖。

⑷超聲波流量計結構
超聲波流量計由超聲波換能器、電子線路及流量顯示系統組成。超聲波發射換能器將電能轉換為超聲波能量,并將其發射到被測流體中;接收器接收到超聲波信號后,經電子線路放大并轉換為代表流量的電信號,供給顯示和計算儀表進行顯示和計算。這樣就實現了流量的檢測和顯示。
為實現流量(流速)測量,*先需要有一個發射超聲波的換能器(俗稱超聲波探頭),超聲波換能器通常由鋯鈦酸鉛陶瓷燈壓電材料制成,通過電致伸縮效應和壓電效應來發射和接收超聲波。
換能器在管道上的配置方式分為:Z式(透過式)、V式(反射式)和X式(交叉式),如圖5

發射超聲波時是利用負壓電效應,即利用高頻電脈沖的作用,使壓電晶體高頻振動,從而發出脈沖變化的高頻壓力波(即超聲波)。超聲波以某一角度射入流體中傳播,然后由裝在管道對面的接收換能器接收。接收換能器則利用正壓電效應,將高頻壓力波又轉換高頻的電脈沖信號。
上一篇:氣體流量計的測量原理與結構
下一篇:氣體渦輪流量計產品結構與工作原理


