氣體流量計的測量原理與結構
點擊次數:6832 發布時間:2021-03-19 08:13:36
1、氣體流量計工作原理
渦街流量計實現流量測量的理論基礎是流體力學中**的“卡門渦街”原理。在流動的流體中垂直插入一個稱作旋渦發生體的對稱形狀的物體(如圓柱體、三角柱體),如圖1所示。當流體沿旋渦發生體擾流時,會在旋渦發生體下游產生不對稱、但有規律的交替旋渦列,這就是所謂的卡門渦街。

由于旋渦之間的相互影響,其形成通常是不穩定的。馮·卡門對渦街的穩定條件進行了研究,于1911年得到結論:只有當兩旋渦列之間的距離h和同列的兩漩渦之間的距離L之比滿足h/L=0.281時,所產生的渦街才是穩定的。
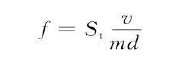
漩渦列在漩渦發生體下游非對稱地排列。設漩渦的發生頻率為f,被測介質的平均速度為U,漩渦發生體迎面寬度為d,表體通徑為D,則根據卡門渦街原理,圓柱體后漩渦發生的頻率可用下式表達:

式中:v---漩渦發生體兩側平均流速,m/s;
St---斯特勞哈爾數
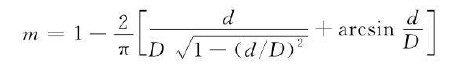
m---漩渦發生體兩側弓形面積與管道橫截面面積之比,其值為

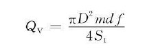
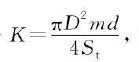
管道內體積流量Qv為

令
可得Qv=Kf
可得Qv=Kf
式中:K---流量計的儀表系統;
f---脈沖數。
K除與漩渦發生體、管道的幾何尺寸有關外,還與斯特勞哈爾數有關。從實驗可知,正常測量范圍的雷諾數為2×10?~7×10?,流體速度v與漩渦脫落頻率的關系是確定的。也就是說,對于圓柱形漩渦發生體,在這個范圍內它的St是常數,并約等于0.2,與理論計算值吻合的很好。對于圓柱形式的漩渦發生體,其St值也是常數,但有它自己的數值。
從上式可知,流量Qv與漩渦脫落頻率f在一定雷諾數范圍內成線性關系。渦街流量計正是利用上述原理制成的,因此,也將這種流量計稱為線性流量計。
2、氣體流量計結構
氣體流量計是利用流體通過阻礙物時產生穩定的漩渦,通過測量其漩渦產生頻率而實現流量計量的。渦街流量計由渦街流量傳感器和流量顯示儀表兩部分構成。由于各個生產廠家的產品結構的差異主要是在流量顯示儀表方面,因而這里主要介紹渦街流量傳感器。
在應用卡門原理推導頻率與流速關系式時,使用了渦街的穩定條件:間隔比h/L=0.281,這說明漩渦產生的頻率受到一定的漩渦空間構造影響,而漩渦的空間結構與漩渦發生體的形狀有關。
另外,在前面的討論中,我們還應該注意到:
1、在上述推導過程中,均是在一維流動的條件下的,然而在圓管中的流動,是具有軸對稱分布的三維流動。
2、在上游有管道存在的條件下,會有附加的流速分布畸變、旋流、波動等不穩定因素。
上述兩點都會對漩渦的穩定性與規律性產生重要的影響。所以,在渦街現象發現以后的很長時間內,一直未能用來進行測量流量,除了信號檢測技術以外,上述兩點也是重要的原因。為了克服上述因素帶來的影響,必須對漩渦發生體形狀有一定要求,使管內的漩渦發生體處的流動盡量接近二維流動,以控制三維流動中漩渦發生體發出的漩渦相位,使渦線彎曲變得極小。
由此可見,漩渦發生體形狀對漩渦的發生有決定性的影響。
1、漩渦發生體形狀的基本要求
漩渦發生體的形狀有很多種,但它們必須具有一些相同的基本要求:
a、有鈍的(即非流線型的)截面形狀---這是產生漩渦的條件;
b、上、下截面形狀相同,并且左右對稱---流動接近二維流動的條件;
c、邊界層分離點事固定的---斯特勞哈爾數St恒定。
同時,漩渦發生體在管道中的安裝位置必須嚴格對稱。漩渦發生體上游必須有直徑為10D(D為管道內徑)以上的直管,下游必須有直徑為5D以上的直管。
2、漩渦發生體的基本結構
漩渦發生體形狀有圓柱、三角柱、T型柱、四角柱等,以下主要介紹圓柱與三角柱這兩種形式。
a、圓柱形漩渦發生體。前面關于漩渦理論部分的內容就是以圓柱為例進行討論的。雖然這種形式使用較早,但嚴格地說,在高流速下它的斯特勞哈爾數St并不穩定。因此,人們就將其改進成開狹縫或開導壓孔形式。
開導壓孔的圓柱漩渦發生器如圖6所示。由于有導壓孔存在,在而當漩渦發出的同時產生的交替升力將使流體通過導壓孔流動,產生一邊吸入,一邊吹出的效果。當流體附面層在圓柱表面開始分離時,在吸入一側,分離被抑制;在吹出一側,分離被促進發生。這樣就可使流體分離點的位置固定下來,也就可以使斯特勞哈爾數St相對穩定。

b、三角柱形漩渦發生體。目前采用較多的漩渦發生體是三角柱形的,其形狀一般由實驗確定。它不僅可以得到比圓柱更強烈的漩渦,而且它的邊界層分離點是固定的,即其斯特勞哈爾數St相對恒定,大約為St=0.16。這樣,渦頻與流速的關系為f=0.16u/d,其中d為三角柱的底邊寬度。三角柱漩渦發生體的形狀如圖7所示。

c、檢測頻率的方法
圓柱體表面開有導壓孔,與圓柱體內部空腔想通。空腔由隔板分成兩部分,在隔板的中央部分有一小孔,在小孔中裝有檢測流體流動的鉑電阻絲。
當漩渦在圓柱體下游側產生時,由于升力的作用,使得圓柱體下方的壓力比上方高一些,圓柱體下方的流體在上下壓力差的作用下,從圓柱體下方導壓孔進入空腔,通過隔板中央部分的小孔,流過鉑電阻絲,從上方導壓孔流出。如果將鉑電阻絲加熱到高于流體溫度的某溫度值,則當流體流過鉑電阻絲時,就會帶走熱量,改變其溫度,也即改變其電阻值。當圓柱體上方產生一個漩渦時,則流體從上導壓孔進入,由下導壓孔流出,又一次通過鉑電阻絲,并改變一次它的電阻值。由此可知:電阻值變化與流動變化相對應,也即與漩渦的頻率相對應。所以,可由檢測鉑電阻絲電阻變化頻率得到渦頻率,進而得到流量值。當然,檢測頻率的元件不僅是鉑電阻絲,還包括其他元件,具體檢測元件與方法如表8所示。

上一篇:關于蒸汽流量計如何選型
下一篇:超聲波流量計的測量原理及結構


